titre du chapitre

Exercice 01

Exercice sur la fonction exponentielle
Corrigé 01

Exercice 02

Exercice sur la fonction exponentielle
Corrigé 02

Exercice 03

Exercice sur la fonction exponentielle
Corrigé 03

Exercice 04

Exercice sur la fonction exponentielle
Corrigé 04

Exercice 05

Exercice sur la fonction exponentielle
Corrigé 05


Corrigé 01

Corrigé exercice 1 sur la fonction exponentielle Corrigé exercice 1 sur la fonction exponentielle
Exercice 01

Corrigé 02

Corrigé exercice 2 sur la fonction exponentielle
Exercice 02

Corrigé 03

Corrigé exercice 3 sur la fonction exponentielle Corrigé exercice 3 sur la fonction exponentielle
Exercice 03

Corrigé 04

Corrigé exercice 4 sur la fonction exponentielle Corrigé exercice 4 sur la fonction exponentielle
Exercice 04

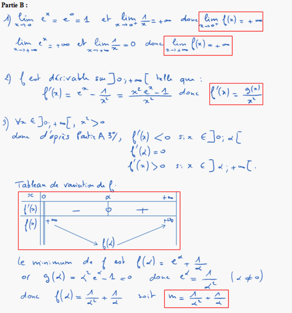
Corrigé 05

Corrigé exercice 5 sur la fonction exponentielle
Exercice 05