titre de l'évaluation

Exercice 01

Exercice 1
Corrigé 01

Exercice 02

Exercice 2
Corrigé 02

Exercice 03

Exercice 3
Corrigé 03


Corrigé 01

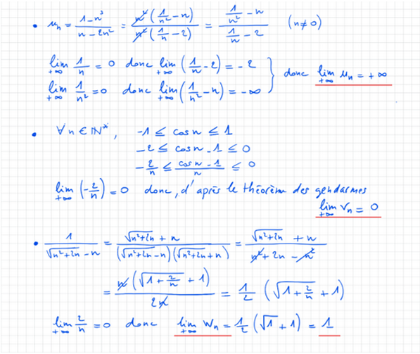
Corrigé exercice 1
Exercice 01

Corrigé 02

Corrigé exercice 2 Corrigé exercice 2
Exercice 02

Corrigé 03

Corrigé exercice 3 Corrigé exercice 3
Exercice 03