titre de l'évaluation

Exercice 01

Exercice 1
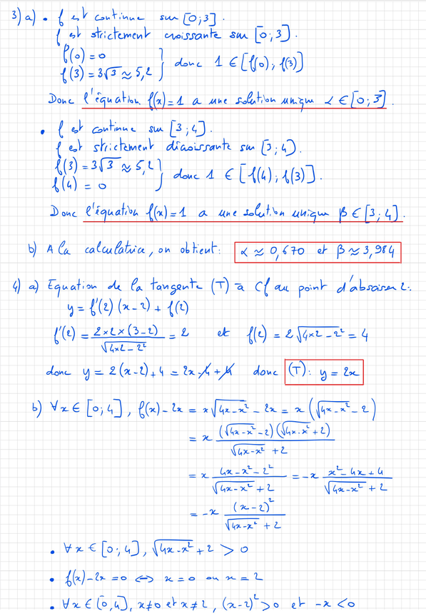
Corrigé 01

Exercice 02

Exercice 2
Corrigé 02


Corrigé 01

Corrigé exercice 1 Corrigé exercice 1 Corrigé exercice 1
Exercice 01

Corrigé 02

Corrigé exercice 2 Corrigé exercice 2
Exercice 02