titre du chapitre

Exercice 01

Exercice sur la dérivation
Corrigé 01

Exercice 02

Exercice sur la dérivation
Corrigé 02

Exercice 03

Exercice sur la dérivation
Corrigé 03

Exercice 04

Exercice sur la dérivation
Corrigé 04

Exercice 05

Exercice sur la dérivation
Corrigé 05

Exercice 06

Exercice sur la dérivation
Corrigé 06

Exercice 07

Exercice sur la dérivation
Corrigé 07

Exercice 08

Exercice sur la dérivation
Corrigé 08

Exercice 09

Exercice sur la dérivation
Corrigé 09

Exercice 10

Exercice sur la dérivation
Corrigé 10


Corrigé 01

Corrigé exercice 1 sur la dérivation
Exercice 01

Corrigé 02

Corrigé exercice 2 sur la dérivation
Exercice 02

Corrigé 03

Corrigé exercice 3 sur la dérivation
Exercice 03

Corrigé 04

Corrigé exercice 4 sur la dérivation Corrigé exercice 4 sur la dérivation
Exercice 04

Corrigé 05

Corrigé exercice 5 sur la dérivation Corrigé exercice 5 sur la dérivation
Exercice 05

Corrigé 06

Corrigé exercice 6 sur la dérivation
Exercice 06

Corrigé 07

Corrigé exercice 7 sur la dérivation Corrigé exercice 7 sur la dérivation Corrigé exercice 7 sur la dérivation
Exercice 07

Corrigé 08

Corrigé exercice 8 sur la dérivation
Exercice 08

Corrigé 09

Corrigé exercice 9 sur la dérivation Corrigé exercice 9 sur la dérivation
Exercice 09

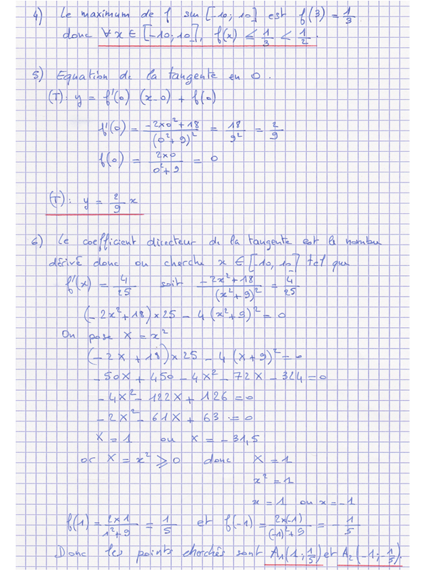
Corrigé 10

Corrigé exercice 10 sur la dérivation Corrigé exercice 10 sur la dérivation
Exercice 10